Файлы категории: Лаборатория - Картинки

.
Йытлеж Пок пик

да есть жеш. моя прелесть Гг

.
Ego vir viden
# mRWiNeT (20.11.2013 / 11:10)
тут если можно подробнее..
имена последние
.
Йытлеж Пок пик

это было напряженный бой.

.

VARG, тоесть? ничего больше не подключено...

293
(26 kb)
.

когда уже подключилось. в чем проблема? переустановил драйвера сети, не помогло.

287
(8 kb)
.

перестал правильно отображаться значок состояния сети. подключение...

269
(5 kb)
.
Отрицающий реальность

Можно через CCC всё посмотреть и изменить

407
(144 kb)
.

Корочи обновился я на 8.1 уже как месяц но надпись которая появилась в углу задолбала. Как бы её убрать. Кто может помочь с данным вопросом?

314
(20 kb)
.
Артёмочка

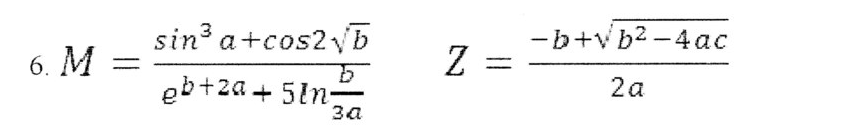
Правильно ли составлены линейные алгоритмы?
вот что я сделал

Program Artem1;
Uses crt;
Var M,a,b:real;
Begin
Writeln('a=');
Readln(a);
Writeln('b=');
Readln(b);
M:=(exp(3+ln(sin(a)))+cos(2*sqrt(b)))/(exp(b+2*a)+5*ln(b/(3*a)));
Writeln('M=', M:2:2);
end.

Program Artem2;
Uses crt;
Var Z,a,b,c:real;
Begin
Writeln('a=');
Readln(a);
Writeln('b=');
Readln(b);
Writeln('c=');
Rea
.
#НетВойне #NoWar #НіВійні

Может режим энергосбережения поменять на другой?!

Всего: 3247